Mplus code for mediation, moderation, and moderated mediation models

Model 18: 1 or more mediators, in parallel if multiple (example uses 1), 2 moderators both moderating the Mediator-DV path only, all 2-way and 3-way interactions

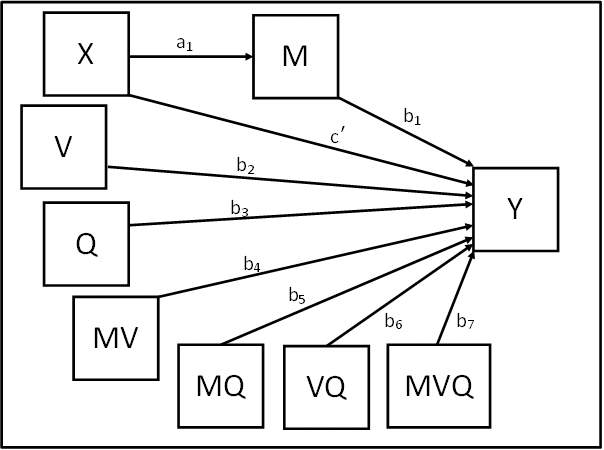
Example Variables: 1 predictor X, 1 mediator M, 2 moderators V, Q, 1 outcome Y

Preliminary notes:

The code below assumes that

  • The primary IV (variable X) is continuous or dichotomous.
  • Any moderators (variables W, V, Q, Z) are continuous, though the only adaptation required to handle dichotomous moderators is in the MODEL CONSTRAINT: and loop plot code - an example of how to do this is given in model 1b. Handling categorical moderators with > 2 categories is demonstrated in model 1d.
  • Any mediators (variable M, or M1, M2, etc.) are continuous and satisfy the assumptions of standard multiple regression. An example of how to handle a dichotomous mediator is given in model 4c.
  • The DV (variable Y) is continuous and satisfies the assumptions of standard multiple regression - an example of how to handle a dichotomous DV is given in model 1e (i.e. a moderated logistic regression) and in model 4d (i.e. an indirect effect in a logistic regression).

 

Model Diagram:

 

Statistical Diagram:

 

Model Equation(s):

Y = b0 + b1M + b2V + b3Q + b4MV + b5MQ + b6VQ + b7MVQ + c'X
M = a0 + a1X

 

Algebra to calculate indirect and/or conditional effects by writing model as Y = a + bX:

Y = b0 + b1M + b2V + b3Q + b4MV + b5MQ + b6VQ + b7MVQ + c'X
M = a0 + a1X


Hence... substituting in equation for M

Y = b0 + b1(a0 + a1X) + b2V + b3Q + b4(a0 + a1X)V + b5(a0 + a1X)Q + b6VQ + b7(a0 + a1X)VQ + c'X


Hence... multiplying out brackets

Y = b0 + a0b1 + a1b1X + b2V + b3Q + a0b4V + a1b4XV + a0b5Q + a1b5XQ + b6VQ + a0b7VQ + a1b7XVQ + c'X


Hence... grouping terms into form Y = a + bX

Y = (b0 + a0b1 + b2V + b3Q + a0b4V + a0b5Q + b6VQ + a0b7VQ) + (a1b1 + a1b4V + a1b5Q + a1b7VQ + c')X


Hence...

One indirect effect(s) of X on Y, conditional on V, Q:

a1b1 + a1b4V + a1b5Q + a1b7VQ = a1(b1 + b4V + b5Q + b7VQ)

One direct effect of X on Y:

c'

 

Mplus code for the model:

! Predictor variable - X
! Mediator variable(s) – M
! Moderator variable(s) – V, Q
! Outcome variable - Y

USEVARIABLES = X M V Q Y MV MQ VQ MVQ;

! Create interaction terms
! Note that they have to be placed at end of USEVARIABLES subcommand above

DEFINE:
   MQ = M*Q;
   MV = M*V;
   VQ = V*Q;
   MVQ = M*V*Q;

ANALYSIS:
   TYPE = GENERAL;
   ESTIMATOR = ML;
   BOOTSTRAP = 10000;

! In model statement name each path and intercept using parentheses

MODEL:
   [Y] (b0);
   Y ON M (b1);
   Y ON V (b2);
   Y ON Q (b3);
   Y ON MV (b4);
   Y ON MQ (b5);
   Y ON VQ (b6);
   Y ON MVQ (b7);

   Y ON X (cdash);

   [M] (a0);
   M ON X (a1);

! Use model constraint subcommand to test conditional indirect effects
! You need to pick low, medium and high moderator values for V, Q
! for example, of 1 SD below mean, mean, 1 SD above mean

! 2 moderators, 3 values for each, gives 9 combinations
! arbitrary naming convention for conditional indirect and total effects used below:
! MEV_LOQ = medium value of V and low value of Q, etc.

MODEL CONSTRAINT:
    NEW(LOW_V MED_V HIGH_V LOW_Q MED_Q HIGH_Q
    ILOV_LOQ IMEV_LOQ IHIV_LOQ ILOV_MEQ IMEV_MEQ IHIV_MEQ
    ILOV_HIQ IMEV_HIQ IHIV_HIQ
    TLOV_LOQ TMEV_LOQ THIV_LOQ TLOV_MEQ TMEV_MEQ THIV_MEQ
    TLOV_HIQ TMEV_HIQ THIV_HIQ);

    LOW_V = #LOWV;   ! replace #LOWV in the code with your chosen low value of V
    MED_V = #MEDV;   ! replace #MEDV in the code with your chosen medium value of V
    HIGH_V = #HIGHV;   ! replace #HIGHV in the code with your chosen high value of V

    LOW_Q = #LOWQ;   ! replace #LOWQ in the code with your chosen low value of Q
    MED_Q = #MEDQ;   ! replace #MEDQ in the code with your chosen medium value of Q
    HIGH_Q = #HIGHQ;   ! replace #HIGHQ in the code with your chosen high value of Q

! Calc conditional indirect effects for each combination of moderator values

    ILOV_LOQ = a1*b1 + a1*b4*LOW_V + a1*b5*LOW_Q + a1*b7*LOW_V*LOW_Q;
    IMEV_LOQ = a1*b1 + a1*b4*MED_V + a1*b5*LOW_Q + a1*b7*MED_V*LOW_Q;
    IHIV_LOQ = a1*b1 + a1*b4*HIGH_V + a1*b5*LOW_Q + a1*b7*HIGH_V*LOW_Q;

    ILOV_MEQ = a1*b1 + a1*b4*LOW_V + a1*b5*MED_Q + a1*b7*LOW_V*MED_Q;
    IMEV_MEQ = a1*b1 + a1*b4*MED_V + a1*b5*MED_Q + a1*b7*MED_V*MED_Q;
    IHIV_MEQ = a1*b1 + a1*b4*HIGH_V + a1*b5*MED_Q + a1*b7*HIGH_V*MED_Q;

    ILOV_HIQ = a1*b1 + a1*b4*LOW_V + a1*b5*HIGH_Q + a1*b7*LOW_V*HIGH_Q;
    IMEV_HIQ = a1*b1 + a1*b4*MED_V + a1*b5*HIGH_Q + a1*b7*MED_V*HIGH_Q;
    IHIV_HIQ = a1*b1 + a1*b4*HIGH_V + a1*b5*HIGH_Q + a1*b7*HIGH_V*HIGH_Q;

! Calc conditional total effects for each combination of moderator values

    TLOV_LOQ = ILOV_LOQ + cdash;
    TMEV_LOQ = IMEV_LOQ + cdash;
    THIV_LOQ = IHIV_LOQ + cdash;

    TLOV_MEQ = ILOV_MEQ + cdash;
    TMEV_MEQ = IMEV_MEQ + cdash;
    THIV_MEQ = IHIV_MEQ + cdash;

    TLOV_HIQ = ILOV_HIQ + cdash;
    TMEV_HIQ = IMEV_HIQ + cdash;
    THIV_HIQ = IHIV_HIQ + cdash;

! Use loop plot to plot conditional indirect effect of X on Y for each combination of low, med, high moderator values
! Could be edited to show conditional direct or conditional total effects instead
! NOTE - values of 1,5 in LOOP() statement need to be replaced by
! logical min and max limits of predictor X used in analysis

    PLOT(PLOV_LOQ PMEV_LOQ PHIV_LOQ PLOV_MEQ PMEV_MEQ PHIV_MEQ
    PLOV_HIQ PMEV_HIQ PHIV_HIQ);

    LOOP(XVAL,1,5,0.1);

    PLOV_LOQ = ILOV_LOQ*XVAL;
    PMEV_LOQ = IMEV_LOQ*XVAL;
    PHIV_LOQ = IHIV_LOQ*XVAL;

    PLOV_MEQ = ILOV_MEQ*XVAL;
    PMEV_MEQ = IMEV_MEQ*XVAL;
    PHIV_MEQ = IHIV_MEQ*XVAL;

    PLOV_HIQ = ILOV_HIQ*XVAL;
    PMEV_HIQ = IMEV_HIQ*XVAL;
    PHIV_HIQ = IHIV_HIQ*XVAL;

PLOT:
   TYPE = plot2;

OUTPUT:
   STAND CINT(bcbootstrap);

 

Return to Model Template index.

To cite this page and/or any code used, please use:
Stride C.B., Gardner S., Catley. N. & Thomas, F.(2015) 'Mplus code for the mediation, moderation, and moderated mediation model templates from Andrew Hayes' PROCESS analysis examples' , http://www.figureitout.org.uk

Home
Statistical Consultancy
Data Management
Public Training Courses
Inhouse & Bespoke Training
Links & Resources
About Us & Contact Details