Mplus code for mediation, moderation, and moderated mediation models

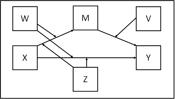
Model 24: 1 or more mediators, in parallel if multiple (example uses 1), 3 moderators, 2 moderating both the IV- Mediator path and direct IV-DV path, 1 moderating the Mediator-DV path

Example Variables: 1 predictor X, 1 mediator M, 3 moderators W, Z, V, 1 outcome Y

Preliminary notes:

The code below assumes that

  • The primary IV (variable X) is continuous or dichotomous.
  • Any moderators (variables W, V, Q, Z) are continuous, though the only adaptation required to handle dichotomous moderators is in the MODEL CONSTRAINT: and loop plot code - an example of how to do this is given in model 1b. Handling categorical moderators with > 2 categories is demonstrated in model 1d.
  • Any mediators (variable M, or M1, M2, etc.) are continuous and satisfy the assumptions of standard multiple regression. An example of how to handle a dichotomous mediator is given in model 4c.
  • The DV (variable Y) is continuous and satisfies the assumptions of standard multiple regression - an example of how to handle a dichotomous DV is given in model 1e (i.e. a moderated logistic regression) and in model 4d (i.e. an indirect effect in a logistic regression).

 

Model Diagram:

 

Statistical Diagram:

 

Model Equation(s):

Y = b0 + b1M + b2V + b3MV + c1'X + c2'W + c3'Z + c4'XW + c5'XZ
M = a0 + a1X + a2W + a3Z + a4XW + a5XZ

 

Algebra to calculate indirect and/or conditional effects by writing model as Y = a + bX:

Y = b0 + b1M + b2V + b3MV + c1'X + c2'W + c3'Z + c4'XW + c5'XZ
M = a0 + a1X + a2W + a3Z + a4XW + a5XZ


Hence... substituting in equation for M

Y = b0 + b1(a0 + a1X + a2W + a3Z + a4XW + a5XZ) + b2V + b3(a0 + a1X + a2W + a3Z + a4XW + a5XZ)V + c1'X + c2'W + c3'Z + c4'XW + c5'XZ


Hence... multiplying out brackets

Y = b0 + a0b1 + a1b1X + a2b1W + a3b1Z + a4b1XW + a5b1XZ + b2V + a0b3V + a1b3XV + a2b3VW + a3b3ZV + a4b3XVW + a5b3XZV + c1'X + c2'W + c3'Z + c4'XW + c5'XZ


Hence... grouping terms into form Y = a + bX

Y = (b0 + a0b1 + a2b1W + a3b1Z + b2V + a0b3V + a2b3VW + a3b3ZV + c2'W + c3'Z) + (a1b1 + a4b1W + a5b1Z + a1b3V + a4b3VW + a5b3ZV + c1' + c4'W + c5'Z)X


Hence...

One indirect effect(s) of X on Y, conditional on W, Z, V:

a1b1 + a4b1W + a5b1Z + a1b3V + a4b3VW + a5b3ZV = (a1 + a4W + a5Z)(b1 + b3V)

One direct effect of X on Y, conditional on W, Z:

c1' + c4'W + c5'Z

 

Mplus code for the model:

! Predictor variable - X
! Mediator variable(s) – M
! Moderator variable(s) – W, Z, V
! Outcome variable - Y

USEVARIABLES = X M W Z V Y XW XZ MV;

! Create interaction terms
! Note that they have to be placed at end of USEVARIABLES subcommand above

DEFINE:
   MV = M*V;
   XW = X*W;
   XZ = X*Z;

ANALYSIS:
   TYPE = GENERAL;
   ESTIMATOR = ML;
   BOOTSTRAP = 10000;

! In model statement name each path and intercept using parentheses

MODEL:
   [Y] (b0);
   Y ON M (b1);
   Y ON V (b2);
   Y ON MV (b3);

   Y ON X (cdash1);
   Y ON W (cdash2);
   Y ON Z (cdash3);
   Y ON XW (cdash4);
   Y ON XZ (cdash5);

   [M] (a0);
   M ON X (a1);
   M ON W (a2);
   M ON Z (a3);
   M ON XW (a4);
   M ON XZ (a5);

! Use model constraint subcommand to test conditional indirect effects
! You need to pick low, medium and high moderator values for W, Z, V
! for example, of 1 SD below mean, mean, 1 SD above mean

! 3 moderators, 3 values for each, gives 27 combinations
! arbitrary naming convention for conditional indirect and total effects used below:
! HWMVLQ = high value of W, medium value of V and low value of Q, etc.

MODEL CONSTRAINT:
    NEW(LOW_W MED_W HIGH_W LOW_Z MED_Z HIGH_Z LOW_V MED_V HIGH_V
    ILWLZLV IMWLZLV IHWLZLV ILWMZLV IMWMZLV IHWMZLV
    ILWHZLV IMWHZLV IHWHZLV
    ILWLZMV IMWLZMV IHWLZMV ILWMZMV IMWMZMV IHWMZMV
    ILWHZMV IMWHZMV IHWHZMV
    ILWLZHV IMWLZHV IHWLZHV ILWMZHV IMWMZHV IHWMZHV
    ILWHZHV IMWHZHV IHWHZHV
    DLOW_LOZ DMEW_LOZ DHIW_LOZ DLOW_MEZ DMEW_MEZ DHIW_MEZ
    DLOW_HIZ DMEW_HIZ DHIW_HIZ
    TLWLZLV TMWLZLV THWLZLV TLWMZLV TMWMZLV THWMZLV
    TLWHZLV TMWHZLV THWHZLV
    TLWLZMV TMWLZMV THWLZMV TLWMZMV TMWMZMV THWMZMV
    TLWHZMV TMWHZMV THWHZMV
    TLWLZHV TMWLZHV THWLZHV TLWMZHV TMWMZHV THWMZHV
    TLWHZHV TMWHZHV THWHZHV);

    LOW_W = #LOWW;   ! replace #LOWW in the code with your chosen low value of W
    MED_W = #MEDW;   ! replace #MEDW in the code with your chosen medium value of W
    HIGH_W = #HIGHW;   ! replace #HIGHW in the code with your chosen high value of W

    LOW_Z = #LOWZ;   ! replace #LOWZ in the code with your chosen low value of Z
    MED_Z = #MEDZ;   ! replace #MEDZ in the code with your chosen medium value of Z
    HIGH_Z = #HIGHZ;   ! replace #HIGHZ in the code with your chosen high value of Z

    LOW_V = #LOWV;   ! replace #LOWV in the code with your chosen low value of V
    MED_V = #MEDV;   ! replace #MEDV in the code with your chosen medium value of V
    HIGH_V = #HIGHV;   ! replace #HIGHV in the code with your chosen high value of V

! Calc conditional indirect effects for each combination of moderator values

    ILWLZLV = a1*b1 + a4*b1*LOW_W + a5*b1*LOW_Z + a1*b3*LOW_V +
     a4*b3*LOW_V*LOW_W + a5*b3*LOW_Z*LOW_V;
    IMWLZLV = a1*b1 + a4*b1*MED_W + a5*b1*LOW_Z + a1*b3*LOW_V +
     a4*b3*LOW_V*MED_W + a5*b3*LOW_Z*LOW_V;
    IHWLZLV = a1*b1 + a4*b1*HIGH_W + a5*b1*LOW_Z + a1*b3*LOW_V +
     a4*b3*LOW_V*HIGH_W + a5*b3*LOW_Z*LOW_V;

    ILWMZLV = a1*b1 + a4*b1*LOW_W + a5*b1*MED_Z + a1*b3*LOW_V +
     a4*b3*LOW_V*LOW_W + a5*b3*MED_Z*LOW_V;
    IMWMZLV = a1*b1 + a4*b1*MED_W + a5*b1*MED_Z + a1*b3*LOW_V +
     a4*b3*LOW_V*MED_W + a5*b3*MED_Z*LOW_V;
    IHWMZLV = a1*b1 + a4*b1*HIGH_W + a5*b1*MED_Z + a1*b3*LOW_V +
     a4*b3*LOW_V*HIGH_W + a5*b3*MED_Z*LOW_V;

    ILWHZLV = a1*b1 + a4*b1*LOW_W + a5*b1*HIGH_Z + a1*b3*LOW_V +
     a4*b3*LOW_V*LOW_W + a5*b3*HIGH_Z*LOW_V;
    IMWHZLV = a1*b1 + a4*b1*MED_W + a5*b1*HIGH_Z + a1*b3*LOW_V +
     a4*b3*LOW_V*MED_W + a5*b3*HIGH_Z*LOW_V;
    IHWHZLV = a1*b1 + a4*b1*HIGH_W + a5*b1*HIGH_Z + a1*b3*LOW_V +
     a4*b3*LOW_V*HIGH_W + a5*b3*HIGH_Z*LOW_V;

    ILWLZMV = a1*b1 + a4*b1*LOW_W + a5*b1*LOW_Z + a1*b3*MED_V +
     a4*b3*MED_V*LOW_W + a5*b3*LOW_Z*MED_V;
    IMWLZMV = a1*b1 + a4*b1*MED_W + a5*b1*LOW_Z + a1*b3*MED_V +
     a4*b3*MED_V*MED_W + a5*b3*LOW_Z*MED_V;
    IHWLZMV = a1*b1 + a4*b1*HIGH_W + a5*b1*LOW_Z + a1*b3*MED_V +
     a4*b3*MED_V*HIGH_W + a5*b3*LOW_Z*MED_V;

    ILWMZMV = a1*b1 + a4*b1*LOW_W + a5*b1*MED_Z + a1*b3*MED_V +
     a4*b3*MED_V*LOW_W + a5*b3*MED_Z*MED_V;
    IMWMZMV = a1*b1 + a4*b1*MED_W + a5*b1*MED_Z + a1*b3*MED_V +
     a4*b3*MED_V*MED_W + a5*b3*MED_Z*MED_V;
    IHWMZMV = a1*b1 + a4*b1*HIGH_W + a5*b1*MED_Z + a1*b3*MED_V +
     a4*b3*MED_V*HIGH_W + a5*b3*MED_Z*MED_V;

    ILWHZMV = a1*b1 + a4*b1*LOW_W + a5*b1*HIGH_Z + a1*b3*MED_V +
     a4*b3*MED_V*LOW_W + a5*b3*HIGH_Z*MED_V;
    IMWHZMV = a1*b1 + a4*b1*MED_W + a5*b1*HIGH_Z + a1*b3*MED_V +
     a4*b3*MED_V*MED_W + a5*b3*HIGH_Z*MED_V;
    IHWHZMV = a1*b1 + a4*b1*HIGH_W + a5*b1*HIGH_Z + a1*b3*MED_V +
     a4*b3*MED_V*HIGH_W + a5*b3*HIGH_Z*MED_V;

    ILWLZHV = a1*b1 + a4*b1*LOW_W + a5*b1*LOW_Z + a1*b3*HIGH_V +
     a4*b3*HIGH_V*LOW_W + a5*b3*LOW_Z*HIGH_V;
    IMWLZHV = a1*b1 + a4*b1*MED_W + a5*b1*LOW_Z + a1*b3*HIGH_V +
     a4*b3*HIGH_V*MED_W + a5*b3*LOW_Z*HIGH_V;
    IHWLZHV = a1*b1 + a4*b1*HIGH_W + a5*b1*LOW_Z + a1*b3*HIGH_V +
     a4*b3*HIGH_V*HIGH_W + a5*b3*LOW_Z*HIGH_V;

    ILWMZHV = a1*b1 + a4*b1*LOW_W + a5*b1*MED_Z + a1*b3*HIGH_V +
     a4*b3*HIGH_V*LOW_W + a5*b3*MED_Z*HIGH_V;
    IMWMZHV = a1*b1 + a4*b1*MED_W + a5*b1*MED_Z + a1*b3*HIGH_V +
     a4*b3*HIGH_V*MED_W + a5*b3*MED_Z*HIGH_V;
    IHWMZHV = a1*b1 + a4*b1*HIGH_W + a5*b1*MED_Z + a1*b3*HIGH_V +
     a4*b3*HIGH_V*HIGH_W + a5*b3*MED_Z*HIGH_V;

    ILWHZHV = a1*b1 + a4*b1*LOW_W + a5*b1*HIGH_Z + a1*b3*HIGH_V +
     a4*b3*HIGH_V*LOW_W + a5*b3*HIGH_Z*HIGH_V;
    IMWHZHV = a1*b1 + a4*b1*MED_W + a5*b1*HIGH_Z + a1*b3*HIGH_V +
     a4*b3*HIGH_V*MED_W + a5*b3*HIGH_Z*HIGH_V;
    IHWHZHV = a1*b1 + a4*b1*HIGH_W + a5*b1*HIGH_Z + a1*b3*HIGH_V +
     a4*b3*HIGH_V*HIGH_W + a5*b3*HIGH_Z*HIGH_V;

! Calc conditional direct effects for each combination of moderator values

    DLOW_LOZ = cdash1 + cdash4*LOW_W + cdash5*LOW_Z;
    DMEW_LOZ = cdash1 + cdash4*MED_W + cdash5*LOW_Z;
    DHIW_LOZ = cdash1 + cdash4*HIGH_W + cdash5*LOW_Z;

    DLOW_MEZ = cdash1 + cdash4*LOW_W + cdash5*MED_Z;
    DMEW_MEZ = cdash1 + cdash4*MED_W + cdash5*MED_Z;
    DHIW_MEZ = cdash1 + cdash4*HIGH_W + cdash5*MED_Z;

    DLOW_HIZ = cdash1 + cdash4*LOW_W + cdash5*HIGH_Z;
    DMEW_HIZ = cdash1 + cdash4*MED_W + cdash5*HIGH_Z;
    DHIW_HIZ = cdash1 + cdash4*HIGH_W + cdash5*HIGH_Z;

! Calc conditional total effects for each combination of moderator values

    TLWLZLV = ILWLZLV + DLOW_LOZ;
    TMWLZLV = IMWLZLV + DMEW_LOZ;
    THWLZLV = IHWLZLV + DHIW_LOZ;

    TLWMZLV = ILWMZLV + DLOW_MEZ;
    TMWMZLV = IMWMZLV + DMEW_MEZ;
    THWMZLV = IHWMZLV + DHIW_MEZ;

    TLWHZLV = ILWHZLV + DLOW_HIZ;
    TMWHZLV = IMWHZLV + DMEW_HIZ;
    THWHZLV = IHWHZLV + DHIW_HIZ;

    TLWLZMV = ILWLZMV + DLOW_LOZ;
    TMWLZMV = IMWLZMV + DMEW_LOZ;
    THWLZMV = IHWLZMV + DHIW_LOZ;

    TLWMZMV = ILWMZMV + DLOW_MEZ;
    TMWMZMV = IMWMZMV + DMEW_MEZ;
    THWMZMV = IHWMZMV + DHIW_MEZ;

    TLWHZMV = ILWHZMV + DLOW_HIZ;
    TMWHZMV = IMWHZMV + DMEW_HIZ;
    THWHZMV = IHWHZMV + DHIW_HIZ;

    TLWLZHV = ILWLZHV + DLOW_LOZ;
    TMWLZHV = IMWLZHV + DMEW_LOZ;
    THWLZHV = IHWLZHV + DHIW_LOZ;

    TLWMZHV = ILWMZHV + DLOW_MEZ;
    TMWMZHV = IMWMZHV + DMEW_MEZ;
    THWMZHV = IHWMZHV + DHIW_MEZ;

    TLWHZHV = ILWHZHV + DLOW_HIZ;
    TMWHZHV = IMWHZHV + DMEW_HIZ;
    THWHZHV = IHWHZHV + DHIW_HIZ;

! Use loop plot to plot conditional indirect effect of X on Y for each combination of low, med, high moderator values
! Could be edited to show conditional direct or conditional total effects instead
! NOTE - values of 1,5 in LOOP() statement need to be replaced by
! logical min and max limits of predictor X used in analysis

    PLOT(PLWLZLV PMWLZLV PHWLZLV PLWMZLV PMWMZLV PHWMZLV
    PLWHZLV PMWHZLV PHWHZLV
    PLWLZMV PMWLZMV PHWLZMV PLWMZMV PMWMZMV PHWMZMV
    PLWHZMV PMWHZMV PHWHZMV
    PLWLZHV PMWLZHV PHWLZHV PLWMZHV PMWMZHV PHWMZHV
    PLWHZHV PMWHZHV PHWHZHV);

    LOOP(XVAL,1,5,0.1);

    PLWLZLV = ILWLZLV*XVAL;
    PMWLZLV = IMWLZLV*XVAL;
    PHWLZLV = IHWLZLV*XVAL;

    PLWMZLV = ILWMZLV*XVAL;
    PMWMZLV = IMWMZLV*XVAL;
    PHWMZLV = IHWMZLV*XVAL;

    PLWHZLV = ILWHZLV*XVAL;
    PMWHZLV = IMWHZLV*XVAL;
    PHWHZLV = IHWHZLV*XVAL;

    PLWLZMV = ILWLZMV*XVAL;
    PMWLZMV = IMWLZMV*XVAL;
    PHWLZMV = IHWLZMV*XVAL;

    PLWMZMV = ILWMZMV*XVAL;
    PMWMZMV = IMWMZMV*XVAL;
    PHWMZMV = IHWMZMV*XVAL;

    PLWHZMV = ILWHZMV*XVAL;
    PMWHZMV = IMWHZMV*XVAL;
    PHWHZMV = IHWHZMV*XVAL;

    PLWLZHV = ILWLZHV*XVAL;
    PMWLZHV = IMWLZHV*XVAL;
    PHWLZHV = IHWLZHV*XVAL;

    PLWMZHV = ILWMZHV*XVAL;
    PMWMZHV = IMWMZHV*XVAL;
    PHWMZHV = IHWMZHV*XVAL;

    PLWHZHV = ILWHZHV*XVAL;
    PMWHZHV = IMWHZHV*XVAL;
    PHWHZHV = IHWHZHV*XVAL;

PLOT:
   TYPE = plot2;

OUTPUT:
   STAND CINT(bcbootstrap);

 

Return to Model Template index.

To cite this page and/or any code used, please use:
Stride C.B., Gardner S., Catley. N. & Thomas, F.(2015) 'Mplus code for the mediation, moderation, and moderated mediation model templates from Andrew Hayes' PROCESS analysis examples' , http://www.figureitout.org.uk

Home
Statistical Consultancy
Data Management
Public Training Courses
Inhouse & Bespoke Training
Links & Resources
About Us & Contact Details