Mplus code for mediation, moderation, and moderated mediation models

Model 24 (latent variable version): 1 or more mediators, in parallel if multiple (example uses 1), 3 moderators, 2 moderating both the IV- Mediator path and direct IV-DV path, 1 moderating the Mediator-DV path

Example Variables: 1 latent predictor X measured by 4 observed variables X1-X4, 1 latent mediator M measured by 4 observed variables M1-M4, 3 latent moderators W, Z, and V, each measured by sets of 4 observed variables W1-W4, Z1-Z4, and V1-V4 respectively, 1 latent outcome Y measured by 4 observed variables Y1-Y4

Preliminary notes:

The code below assumes that

  • The latent IV (factor X) is measured by continuous observed variables X1-X4.
  • Any latent moderator(s) (factors W, V, Q, Z) are measured by continuous observed variables W1-W4, Z1-Z4, V1-V4, Q1-Q4 respectively.
  • Any latent mediator(s) (factor M, or factors M1, M2, etc.) are measured by continuous observed variables M1-M4 or M1_1-M1-4, M2_1-M2_4 respectively.
  • The latent outcome Y is measured by continuous observed variables Y1-Y4.

 

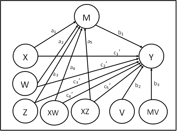
Model Diagram (factor indicator variables omitted for space/clarity reasons):

 

Statistical Diagram (factor indicator variables omitted for space/clarity reasons):

 

Model Equation(s):

Y = b0 + b1M + b2V + b3MV + c1'X + c2'W + c3'Z + c4'XW + c5'XZ
M = a0 + a1X + a2W + a3Z + a4XW + a5XZ

 

Algebra to calculate indirect and/or conditional effects by writing model as Y = a + bX:

Y = b0 + b1M + b2V + b3MV + c1'X + c2'W + c3'Z + c4'XW + c5'XZ
M = a0 + a1X + a2W + a3Z + a4XW + a5XZ


Hence... substituting in equation for M

Y = b0 + b1(a0 + a1X + a2W + a3Z + a4XW + a5XZ) + b2V + b3(a0 + a1X + a2W + a3Z + a4XW + a5XZ)V + c1'X + c2'W + c3'Z + c4'XW + c5'XZ


Hence... multiplying out brackets

Y = b0 + a0b1 + a1b1X + a2b1W + a3b1Z + a4b1XW + a5b1XZ + b2V + a0b3V + a1b3XV + a2b3VW + a3b3ZV + a4b3XVW + a5b3XZV + c1'X + c2'W + c3'Z + c4'XW + c5'XZ


Hence... grouping terms into form Y = a + bX

Y = (b0 + a0b1 + a2b1W + a3b1Z + b2V + a0b3V + a2b3VW + a3b3ZV + c2'W + c3'Z) + (a1b1 + a4b1W + a5b1Z + a1b3V + a4b3VW + a5b3ZV + c1' + c4'W + c5'Z)X


Hence...

One indirect effect(s) of X on Y, conditional on W, Z, V:

a1b1 + a4b1W + a5b1Z + a1b3V + a4b3VW + a5b3ZV = (a1 + a4W + a5Z)(b1 + b3V)

One direct effect of X on Y, conditional on W, Z:

c1' + c4'W + c5'Z

 

Mplus code for the model:

! Latent predictor variable X measured by X1-X4
! Latent mediator M measured by 4 observed variables M1-M4
! Latent moderators W, Z, and V, each measured by sets of 4 observed variables W1-W4, Z1-Z4, and V1-V4 respectively
! Latent outcome variable Y measured by Y1-Y4

USEVARIABLES = X1 X2 X3 X4 M1 M2 M3 M4
W1 W2 W3 W4 Z1 Z2 Z3 Z4 V1 V2 V3 V4
Y1 Y2 Y3 Y4;

ANALYSIS:
   TYPE = GENERAL RANDOM;
   ESTIMATOR = ML;
   ALGORITHM = INTEGRATION;

! In model statement first state measurement model
! Then create any latent interactions required
! Then state structural model naming each path and intercept using parentheses

MODEL:

! Measurement model
! Identify moderator factors by fixing variance = 1 (instead of first loading)
! This makes these factors standardised
   X BY X1 X2 X3 X4;
   M BY M1 M2 M3 M4;
   W BY W1* W2 W3 W4;
   Z BY Z1* Z2 Z3 Z4;
   V BY V1* V2 V3 V4;
   Y BY Y1 Y2 Y3 Y4;

    W@1;   Z@1;   V@1;

! Create latent interactions
   MV | M XWITH V;
   XW | X XWITH W;
   XZ | X XWITH Z;

! Fit structural model and name parameters
! Note that intercepts of M, Y are fixed = 0 since they are latent vars
! so no code to state and name them as parameters
   Y ON M (b1);
   Y ON V (b2);
   Y ON MV (b3);

   Y ON X (cdash1);
   Y ON W (cdash2);
   Y ON Z (cdash3);
   Y ON XW (cdash4);
   Y ON XZ (cdash5);

   M ON X (a1);
   M ON W (a2);
   M ON Z (a3);
   M ON XW (a4);
   M ON XZ (a5);

! Use model constraint subcommand to test conditional indirect effects
! You need to pick low, medium and high moderator values for W, Z, V
! for example, of 1 SD below mean, mean, 1 SD above mean

! 3 moderators, 3 values for each, gives 27 combinations
! arbitrary naming convention for conditional indirect and total effects used below:
! HWMVLQ = high value of W, medium value of V and low value of Q, etc.

MODEL CONSTRAINT:
    NEW(LOW_W MED_W HIGH_W LOW_Z MED_Z HIGH_Z LOW_V MED_V HIGH_V
    ILWLZLV IMWLZLV IHWLZLV ILWMZLV IMWMZLV IHWMZLV
    ILWHZLV IMWHZLV IHWHZLV
    ILWLZMV IMWLZMV IHWLZMV ILWMZMV IMWMZMV IHWMZMV
    ILWHZMV IMWHZMV IHWHZMV
    ILWLZHV IMWLZHV IHWLZHV ILWMZHV IMWMZHV IHWMZHV
    ILWHZHV IMWHZHV IHWHZHV
    DLOW_LOZ DMEW_LOZ DHIW_LOZ DLOW_MEZ DMEW_MEZ DHIW_MEZ
    DLOW_HIZ DMEW_HIZ DHIW_HIZ
    TLWLZLV TMWLZLV THWLZLV TLWMZLV TMWMZLV THWMZLV
    TLWHZLV TMWHZLV THWHZLV
    TLWLZMV TMWLZMV THWLZMV TLWMZMV TMWMZMV THWMZMV
    TLWHZMV TMWHZMV THWHZMV
    TLWLZHV TMWLZHV THWLZHV TLWMZHV TMWMZHV THWMZHV
    TLWHZHV TMWHZHV THWHZHV);

    LOW_W = -1;   ! -1 SD below mean value of W
    MED_W = 0;   ! mean value of W
    HIGH_W = 1;   ! +1 SD above mean value of W

    LOW_Z = -1;   ! -1 SD below mean value of Z
    MED_Z = 0;   ! mean value of Z
    HIGH_Z = 1;   ! +1 SD above mean value of Z

    LOW_V = -1;   ! -1 SD below mean value of V
    MED_V = 0;   ! mean value of V
    HIGH_V = 1;   ! +1 SD above mean value of V

! Calc conditional indirect effects for each combination of moderator values

    ILWLZLV = a1*b1 + a4*b1*LOW_W + a5*b1*LOW_Z + a1*b3*LOW_V +
     a4*b3*LOW_V*LOW_W + a5*b3*LOW_Z*LOW_V;
    IMWLZLV = a1*b1 + a4*b1*MED_W + a5*b1*LOW_Z + a1*b3*LOW_V +
     a4*b3*LOW_V*MED_W + a5*b3*LOW_Z*LOW_V;
    IHWLZLV = a1*b1 + a4*b1*HIGH_W + a5*b1*LOW_Z + a1*b3*LOW_V +
     a4*b3*LOW_V*HIGH_W + a5*b3*LOW_Z*LOW_V;

    ILWMZLV = a1*b1 + a4*b1*LOW_W + a5*b1*MED_Z + a1*b3*LOW_V +
     a4*b3*LOW_V*LOW_W + a5*b3*MED_Z*LOW_V;
    IMWMZLV = a1*b1 + a4*b1*MED_W + a5*b1*MED_Z + a1*b3*LOW_V +
     a4*b3*LOW_V*MED_W + a5*b3*MED_Z*LOW_V;
    IHWMZLV = a1*b1 + a4*b1*HIGH_W + a5*b1*MED_Z + a1*b3*LOW_V +
     a4*b3*LOW_V*HIGH_W + a5*b3*MED_Z*LOW_V;

    ILWHZLV = a1*b1 + a4*b1*LOW_W + a5*b1*HIGH_Z + a1*b3*LOW_V +
     a4*b3*LOW_V*LOW_W + a5*b3*HIGH_Z*LOW_V;
    IMWHZLV = a1*b1 + a4*b1*MED_W + a5*b1*HIGH_Z + a1*b3*LOW_V +
     a4*b3*LOW_V*MED_W + a5*b3*HIGH_Z*LOW_V;
    IHWHZLV = a1*b1 + a4*b1*HIGH_W + a5*b1*HIGH_Z + a1*b3*LOW_V +
     a4*b3*LOW_V*HIGH_W + a5*b3*HIGH_Z*LOW_V;

    ILWLZMV = a1*b1 + a4*b1*LOW_W + a5*b1*LOW_Z + a1*b3*MED_V +
     a4*b3*MED_V*LOW_W + a5*b3*LOW_Z*MED_V;
    IMWLZMV = a1*b1 + a4*b1*MED_W + a5*b1*LOW_Z + a1*b3*MED_V +
     a4*b3*MED_V*MED_W + a5*b3*LOW_Z*MED_V;
    IHWLZMV = a1*b1 + a4*b1*HIGH_W + a5*b1*LOW_Z + a1*b3*MED_V +
     a4*b3*MED_V*HIGH_W + a5*b3*LOW_Z*MED_V;

    ILWMZMV = a1*b1 + a4*b1*LOW_W + a5*b1*MED_Z + a1*b3*MED_V +
     a4*b3*MED_V*LOW_W + a5*b3*MED_Z*MED_V;
    IMWMZMV = a1*b1 + a4*b1*MED_W + a5*b1*MED_Z + a1*b3*MED_V +
     a4*b3*MED_V*MED_W + a5*b3*MED_Z*MED_V;
    IHWMZMV = a1*b1 + a4*b1*HIGH_W + a5*b1*MED_Z + a1*b3*MED_V +
     a4*b3*MED_V*HIGH_W + a5*b3*MED_Z*MED_V;

    ILWHZMV = a1*b1 + a4*b1*LOW_W + a5*b1*HIGH_Z + a1*b3*MED_V +
     a4*b3*MED_V*LOW_W + a5*b3*HIGH_Z*MED_V;
    IMWHZMV = a1*b1 + a4*b1*MED_W + a5*b1*HIGH_Z + a1*b3*MED_V +
     a4*b3*MED_V*MED_W + a5*b3*HIGH_Z*MED_V;
    IHWHZMV = a1*b1 + a4*b1*HIGH_W + a5*b1*HIGH_Z + a1*b3*MED_V +
     a4*b3*MED_V*HIGH_W + a5*b3*HIGH_Z*MED_V;

    ILWLZHV = a1*b1 + a4*b1*LOW_W + a5*b1*LOW_Z + a1*b3*HIGH_V +
     a4*b3*HIGH_V*LOW_W + a5*b3*LOW_Z*HIGH_V;
    IMWLZHV = a1*b1 + a4*b1*MED_W + a5*b1*LOW_Z + a1*b3*HIGH_V +
     a4*b3*HIGH_V*MED_W + a5*b3*LOW_Z*HIGH_V;
    IHWLZHV = a1*b1 + a4*b1*HIGH_W + a5*b1*LOW_Z + a1*b3*HIGH_V +
     a4*b3*HIGH_V*HIGH_W + a5*b3*LOW_Z*HIGH_V;

    ILWMZHV = a1*b1 + a4*b1*LOW_W + a5*b1*MED_Z + a1*b3*HIGH_V +
     a4*b3*HIGH_V*LOW_W + a5*b3*MED_Z*HIGH_V;
    IMWMZHV = a1*b1 + a4*b1*MED_W + a5*b1*MED_Z + a1*b3*HIGH_V +
     a4*b3*HIGH_V*MED_W + a5*b3*MED_Z*HIGH_V;
    IHWMZHV = a1*b1 + a4*b1*HIGH_W + a5*b1*MED_Z + a1*b3*HIGH_V +
     a4*b3*HIGH_V*HIGH_W + a5*b3*MED_Z*HIGH_V;

    ILWHZHV = a1*b1 + a4*b1*LOW_W + a5*b1*HIGH_Z + a1*b3*HIGH_V +
     a4*b3*HIGH_V*LOW_W + a5*b3*HIGH_Z*HIGH_V;
    IMWHZHV = a1*b1 + a4*b1*MED_W + a5*b1*HIGH_Z + a1*b3*HIGH_V +
     a4*b3*HIGH_V*MED_W + a5*b3*HIGH_Z*HIGH_V;
    IHWHZHV = a1*b1 + a4*b1*HIGH_W + a5*b1*HIGH_Z + a1*b3*HIGH_V +
     a4*b3*HIGH_V*HIGH_W + a5*b3*HIGH_Z*HIGH_V;

! Calc conditional direct effects for each combination of moderator values

    DLOW_LOZ = cdash1 + cdash4*LOW_W + cdash5*LOW_Z;
    DMEW_LOZ = cdash1 + cdash4*MED_W + cdash5*LOW_Z;
    DHIW_LOZ = cdash1 + cdash4*HIGH_W + cdash5*LOW_Z;

    DLOW_MEZ = cdash1 + cdash4*LOW_W + cdash5*MED_Z;
    DMEW_MEZ = cdash1 + cdash4*MED_W + cdash5*MED_Z;
    DHIW_MEZ = cdash1 + cdash4*HIGH_W + cdash5*MED_Z;

    DLOW_HIZ = cdash1 + cdash4*LOW_W + cdash5*HIGH_Z;
    DMEW_HIZ = cdash1 + cdash4*MED_W + cdash5*HIGH_Z;
    DHIW_HIZ = cdash1 + cdash4*HIGH_W + cdash5*HIGH_Z;

! Calc conditional total effects for each combination of moderator values

    TLWLZLV = ILWLZLV + DLOW_LOZ;
    TMWLZLV = IMWLZLV + DMEW_LOZ;
    THWLZLV = IHWLZLV + DHIW_LOZ;

    TLWMZLV = ILWMZLV + DLOW_MEZ;
    TMWMZLV = IMWMZLV + DMEW_MEZ;
    THWMZLV = IHWMZLV + DHIW_MEZ;

    TLWHZLV = ILWHZLV + DLOW_HIZ;
    TMWHZLV = IMWHZLV + DMEW_HIZ;
    THWHZLV = IHWHZLV + DHIW_HIZ;

    TLWLZMV = ILWLZMV + DLOW_LOZ;
    TMWLZMV = IMWLZMV + DMEW_LOZ;
    THWLZMV = IHWLZMV + DHIW_LOZ;

    TLWMZMV = ILWMZMV + DLOW_MEZ;
    TMWMZMV = IMWMZMV + DMEW_MEZ;
    THWMZMV = IHWMZMV + DHIW_MEZ;

    TLWHZMV = ILWHZMV + DLOW_HIZ;
    TMWHZMV = IMWHZMV + DMEW_HIZ;
    THWHZMV = IHWHZMV + DHIW_HIZ;

    TLWLZHV = ILWLZHV + DLOW_LOZ;
    TMWLZHV = IMWLZHV + DMEW_LOZ;
    THWLZHV = IHWLZHV + DHIW_LOZ;

    TLWMZHV = ILWMZHV + DLOW_MEZ;
    TMWMZHV = IMWMZHV + DMEW_MEZ;
    THWMZHV = IHWMZHV + DHIW_MEZ;

    TLWHZHV = ILWHZHV + DLOW_HIZ;
    TMWHZHV = IMWHZHV + DMEW_HIZ;
    THWHZHV = IHWHZHV + DHIW_HIZ;

! Use loop plot to plot conditional indirect effect of X on Y for each combination of low, med, high moderator values
! Could be edited to show conditional direct or conditional total effects instead
! NOTE - values from -3 to 3 in LOOP() statement since
! X is factor with mean set at default of 0

    PLOT(PLWLZLV PMWLZLV PHWLZLV PLWMZLV PMWMZLV PHWMZLV
    PLWHZLV PMWHZLV PHWHZLV
    PLWLZMV PMWLZMV PHWLZMV PLWMZMV PMWMZMV PHWMZMV
    PLWHZMV PMWHZMV PHWHZMV
    PLWLZHV PMWLZHV PHWLZHV PLWMZHV PMWMZHV PHWMZHV
    PLWHZHV PMWHZHV PHWHZHV);

    LOOP(XVAL,-3,3,0.1);

    PLWLZLV = ILWLZLV*XVAL;
    PMWLZLV = IMWLZLV*XVAL;
    PHWLZLV = IHWLZLV*XVAL;

    PLWMZLV = ILWMZLV*XVAL;
    PMWMZLV = IMWMZLV*XVAL;
    PHWMZLV = IHWMZLV*XVAL;

    PLWHZLV = ILWHZLV*XVAL;
    PMWHZLV = IMWHZLV*XVAL;
    PHWHZLV = IHWHZLV*XVAL;

    PLWLZMV = ILWLZMV*XVAL;
    PMWLZMV = IMWLZMV*XVAL;
    PHWLZMV = IHWLZMV*XVAL;

    PLWMZMV = ILWMZMV*XVAL;
    PMWMZMV = IMWMZMV*XVAL;
    PHWMZMV = IHWMZMV*XVAL;

    PLWHZMV = ILWHZMV*XVAL;
    PMWHZMV = IMWHZMV*XVAL;
    PHWHZMV = IHWHZMV*XVAL;

    PLWLZHV = ILWLZHV*XVAL;
    PMWLZHV = IMWLZHV*XVAL;
    PHWLZHV = IHWLZHV*XVAL;

    PLWMZHV = ILWMZHV*XVAL;
    PMWMZHV = IMWMZHV*XVAL;
    PHWMZHV = IHWMZHV*XVAL;

    PLWHZHV = ILWHZHV*XVAL;
    PMWHZHV = IMWHZHV*XVAL;
    PHWHZHV = IHWHZHV*XVAL;

PLOT:
   TYPE = plot2;

OUTPUT:
   CINT;

 

Return to Model Template index.

To cite this page and/or any code used, please use:
Stride C.B., Gardner S., Catley. N. & Thomas, F.(2015) 'Mplus code for the mediation, moderation, and moderated mediation model templates from Andrew Hayes' PROCESS analysis examples' , http://www.figureitout.org.uk

Home
Statistical Consultancy
Data Management
Public Training Courses
Inhouse & Bespoke Training
Links & Resources
About Us & Contact Details