Mplus code for mediation, moderation, and moderated mediation models

Model 38: 1 or more mediators, in parallel if multiple (example uses 1), 3 moderators, 1 moderating the IV-Mediator path, 2 moderating both the Mediator-DV path and the IV-DV path, with all 2-way and 3-way interactions

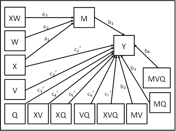
Example Variables: 1 predictor X, 1 mediator M, 3 moderators W, V, Q, 1 outcome Y

Preliminary notes:

The code below assumes that

  • The primary IV (variable X) is continuous or dichotomous.
  • Any moderators (variables W, V, Q, Z) are continuous, though the only adaptation required to handle dichotomous moderators is in the MODEL CONSTRAINT: and loop plot code - an example of how to do this is given in model 1b. Handling categorical moderators with > 2 categories is demonstrated in model 1d.
  • Any mediators (variable M, or M1, M2, etc.) are continuous and satisfy the assumptions of standard multiple regression. An example of how to handle a dichotomous mediator is given in model 4c.
  • The DV (variable Y) is continuous and satisfies the assumptions of standard multiple regression - an example of how to handle a dichotomous DV is given in model 1e (i.e. a moderated logistic regression) and in model 4d (i.e. an indirect effect in a logistic regression).

 

Model Diagram:

 

Statistical Diagram:

 

Model Equation(s):

Y = b0 + b1M + b2MV + b3MQ + b4MVQ + c1'X + c2'V + c3'Q + c4'XV + c5'XQ + c6'VQ + c7'XVQ
M = a0 + a1X + a2W + a3XW

 

Algebra to calculate indirect and/or conditional effects by writing model as Y = a + bX:

Y = b0 + b1M + b2MV + b3MQ + b4MVQ + c1'X + c2'V + c3'Q + c4'XV + c5'XQ + c6'VQ + c7'XVQ
M = a0 + a1X + a2W + a3XW


Hence... substituting in equation for M

Y = b0 + b1(a0 + a1X + a2W + a3XW) + b2(a0 + a1X + a2W + a3XW)V + b3(a0 + a1X + a2W + a3XW)Q + b4(a0 + a1X + a2W + a3XW)VQ + c1'X + c2'V + c3'Q + c4'XV + c5'XQ + c6'VQ + c7'XVQ


Hence... multiplying out brackets

Y = b0 + a0b1 + a1b1X + a2b1W + a3b1XW + a0b2V + a1b2XV + a2b2WV + a3b2XWV + a0b3Q + a1b3XQ + a2b3WQ + a3b3XWQ + a0b4VQ + a1b4XVQ + a2b4WVQ + a3b4XWVQ + c1'X + c2'V + c3'Q + c4'XV + c5'XQ + c6'VQ + c7'XVQ


Hence... grouping terms into form Y = a + bX

Y = (b0 + a0b1 + a2b1W + a0b2V + a2b2WV + a0b3Q + a2b3WQ + a0b4VQ + a2b4WVQ + c2'V + c3'Q + c6'VQ) + (a1b1 + a3b1W + a1b2V + a3b2WV + a1b3Q + a3b3WQ + a1b4VQ + a3b4WVQ + c1' + c4'V + c5'Q + c7'VQ)X


Hence...

One indirect effect(s) of X on Y, conditional on W, V, Q:

a1b1 + a3b1W + a1b2V + a3b2WV + a1b3Q + a3b3WQ + a1b4VQ + a3b4WVQ = (a1 + a3W)(b1 + b2V + b3Q + b4VQ)

One direct effect of X on Y, conditional on V, Q:

c1' + c4'V + c5'Q + c7'VQ

 

Mplus code for the model:

! Predictor variable - X
! Mediator variable(s) – M
! Moderator variable(s) – W, V, Q
! Outcome variable - Y

USEVARIABLES = X M W V Q Y XW XV XQ VQ MV MQ XVQ MVQ;

! Create interaction terms
! Note that they have to be placed at end of USEVARIABLES subcommand above

DEFINE:
   MQ = M*Q;
   MV = M*V;
   XW = X*W;
   XQ = X*Q;
   XV = X*V;
   VQ = V*Q;
   MVQ = M*V*Q;
   XVQ = X*V*Q;

ANALYSIS:
   TYPE = GENERAL;
   ESTIMATOR = ML;
   BOOTSTRAP = 10000;

! In model statement name each path and intercept using parentheses

MODEL:
   [Y] (b0);
   Y ON M (b1);
   Y ON MV (b2);
   Y ON MQ (b3);
   Y ON MVQ (b4);

   Y ON X (cdash1);
   Y ON V (cdash2);
   Y ON Q (cdash3);
   Y ON XV (cdash4);
   Y ON XQ (cdash5);
   Y ON VQ (cdash6);
   Y ON XVQ (cdash7);

   [M] (a0);
   M ON X (a1);
   M ON W (a2);
   M ON XW (a3);

! Use model constraint subcommand to test conditional indirect effects
! You need to pick low, medium and high moderator values for W, V, Q
! for example, of 1 SD below mean, mean, 1 SD above mean

! 3 moderators, 3 values for each, gives 27 combinations
! arbitrary naming convention for conditional indirect and total effects used below:
! HWMVLQ = high value of W, medium value of V and low value of Q, etc.

MODEL CONSTRAINT:
    NEW(LOW_W MED_W HIGH_W LOW_V MED_V HIGH_V LOW_Q MED_Q HIGH_Q
    ILWLVLQ IMWLVLQ IHWLVLQ ILWMVLQ IMWMVLQ IHWMVLQ
    ILWHVLQ IMWHVLQ IHWHVLQ
    ILWLVMQ IMWLVMQ IHWLVMQ ILWMVMQ IMWMVMQ IHWMVMQ
    ILWHVMQ IMWHVMQ IHWHVMQ
    ILWLVHQ IMWLVHQ IHWLVHQ ILWMVHQ IMWMVHQ IHWMVHQ
    ILWHVHQ IMWHVHQ IHWHVHQ
    DLOV_LOQ DMEV_LOQ DHIV_LOQ DLOV_MEQ DMEV_MEQ DHIV_MEQ
    DLOV_HIQ DMEV_HIQ DHIV_HIQ
    TLWLVLQ TMWLVLQ THWLVLQ TLWMVLQ TMWMVLQ THWMVLQ
    TLWHVLQ TMWHVLQ THWHVLQ
    TLWLVMQ TMWLVMQ THWLVMQ TLWMVMQ TMWMVMQ THWMVMQ
    TLWHVMQ TMWHVMQ THWHVMQ
    TLWLVHQ TMWLVHQ THWLVHQ TLWMVHQ TMWMVHQ THWMVHQ
    TLWHVHQ TMWHVHQ THWHVHQ);

    LOW_W = #LOWW;   ! replace #LOWW in the code with your chosen low value of W
    MED_W = #MEDW;   ! replace #MEDW in the code with your chosen medium value of W
    HIGH_W = #HIGHW;   ! replace #HIGHW in the code with your chosen high value of W

    LOW_V = #LOWV;   ! replace #LOWV in the code with your chosen low value of V
    MED_V = #MEDV;   ! replace #MEDV in the code with your chosen medium value of V
    HIGH_V = #HIGHV;   ! replace #HIGHV in the code with your chosen high value of V

    LOW_Q = #LOWQ;   ! replace #LOWQ in the code with your chosen low value of Q
    MED_Q = #MEDQ;   ! replace #MEDQ in the code with your chosen medium value of Q
    HIGH_Q = #HIGHQ;   ! replace #HIGHQ in the code with your chosen high value of Q

! Calc conditional indirect effects for each combination of moderator values

    ILWLVLQ = a1*b1 + a3*b1*LOW_W + a1*b2*LOW_V + a3*b2*LOW_W*LOW_V +
     a1*b3*LOW_Q + a3*b3*LOW_W*LOW_Q + a1*b4*LOW_V*LOW_Q +
     a3*b4*LOW_W*LOW_V*LOW_Q;
    IMWLVLQ = a1*b1 + a3*b1*MED_W + a1*b2*LOW_V + a3*b2*MED_W*LOW_V +
     a1*b3*LOW_Q + a3*b3*MED_W*LOW_Q + a1*b4*LOW_V*LOW_Q +
     a3*b4*MED_W*LOW_V*LOW_Q;
    IHWLVLQ = a1*b1 + a3*b1*HIGH_W + a1*b2*LOW_V + a3*b2*HIGH_W*LOW_V +
     a1*b3*LOW_Q + a3*b3*HIGH_W*LOW_Q + a1*b4*LOW_V*LOW_Q +
     a3*b4*HIGH_W*LOW_V*LOW_Q;

    ILWMVLQ = a1*b1 + a3*b1*LOW_W + a1*b2*MED_V + a3*b2*LOW_W*MED_V +
     a1*b3*LOW_Q + a3*b3*LOW_W*LOW_Q + a1*b4*MED_V*LOW_Q +
     a3*b4*LOW_W*MED_V*LOW_Q;
    IMWMVLQ = a1*b1 + a3*b1*MED_W + a1*b2*MED_V + a3*b2*MED_W*MED_V +
     a1*b3*LOW_Q + a3*b3*MED_W*LOW_Q + a1*b4*MED_V*LOW_Q +
     a3*b4*MED_W*MED_V*LOW_Q;
    IHWMVLQ = a1*b1 + a3*b1*HIGH_W + a1*b2*MED_V + a3*b2*HIGH_W*MED_V +
     a1*b3*LOW_Q + a3*b3*HIGH_W*LOW_Q + a1*b4*MED_V*LOW_Q +
     a3*b4*HIGH_W*MED_V*LOW_Q;

    ILWHVLQ = a1*b1 + a3*b1*LOW_W + a1*b2*HIGH_V + a3*b2*LOW_W*HIGH_V +
     a1*b3*LOW_Q + a3*b3*LOW_W*LOW_Q + a1*b4*HIGH_V*LOW_Q +
     a3*b4*LOW_W*HIGH_V*LOW_Q;
    IMWHVLQ = a1*b1 + a3*b1*MED_W + a1*b2*HIGH_V + a3*b2*MED_W*HIGH_V +
     a1*b3*LOW_Q + a3*b3*MED_W*LOW_Q + a1*b4*HIGH_V*LOW_Q +
     a3*b4*MED_W*HIGH_V*LOW_Q;
    IHWHVLQ = a1*b1 + a3*b1*HIGH_W + a1*b2*HIGH_V + a3*b2*HIGH_W*HIGH_V +
     a1*b3*LOW_Q + a3*b3*HIGH_W*LOW_Q + a1*b4*HIGH_V*LOW_Q +
     a3*b4*HIGH_W*HIGH_V*LOW_Q;

    ILWLVMQ = a1*b1 + a3*b1*LOW_W + a1*b2*LOW_V + a3*b2*LOW_W*LOW_V +
     a1*b3*MED_Q + a3*b3*LOW_W*MED_Q + a1*b4*LOW_V*MED_Q +
     a3*b4*LOW_W*LOW_V*MED_Q;
    IMWLVMQ = a1*b1 + a3*b1*MED_W + a1*b2*LOW_V + a3*b2*MED_W*LOW_V +
     a1*b3*MED_Q + a3*b3*MED_W*MED_Q + a1*b4*LOW_V*MED_Q +
     a3*b4*MED_W*LOW_V*MED_Q;
    IHWLVMQ = a1*b1 + a3*b1*HIGH_W + a1*b2*LOW_V + a3*b2*HIGH_W*LOW_V +
     a1*b3*MED_Q + a3*b3*HIGH_W*MED_Q + a1*b4*LOW_V*MED_Q +
     a3*b4*HIGH_W*LOW_V*MED_Q;

    ILWMVMQ = a1*b1 + a3*b1*LOW_W + a1*b2*MED_V + a3*b2*LOW_W*MED_V +
     a1*b3*MED_Q + a3*b3*LOW_W*MED_Q + a1*b4*MED_V*MED_Q +
     a3*b4*LOW_W*MED_V*MED_Q;
    IMWMVMQ = a1*b1 + a3*b1*MED_W + a1*b2*MED_V + a3*b2*MED_W*MED_V +
     a1*b3*MED_Q + a3*b3*MED_W*MED_Q + a1*b4*MED_V*MED_Q +
     a3*b4*MED_W*MED_V*MED_Q;
    IHWMVMQ = a1*b1 + a3*b1*HIGH_W + a1*b2*MED_V + a3*b2*HIGH_W*MED_V +
     a1*b3*MED_Q + a3*b3*HIGH_W*MED_Q + a1*b4*MED_V*MED_Q +
     a3*b4*HIGH_W*MED_V*MED_Q;

    ILWHVMQ = a1*b1 + a3*b1*LOW_W + a1*b2*HIGH_V + a3*b2*LOW_W*HIGH_V +
     a1*b3*MED_Q + a3*b3*LOW_W*MED_Q + a1*b4*HIGH_V*MED_Q +
     a3*b4*LOW_W*HIGH_V*MED_Q;
    IMWHVMQ = a1*b1 + a3*b1*MED_W + a1*b2*HIGH_V + a3*b2*MED_W*HIGH_V +
     a1*b3*MED_Q + a3*b3*MED_W*MED_Q + a1*b4*HIGH_V*MED_Q +
     a3*b4*MED_W*HIGH_V*MED_Q;
    IHWHVMQ = a1*b1 + a3*b1*HIGH_W + a1*b2*HIGH_V + a3*b2*HIGH_W*HIGH_V +
     a1*b3*MED_Q + a3*b3*HIGH_W*MED_Q + a1*b4*HIGH_V*MED_Q +
     a3*b4*HIGH_W*HIGH_V*MED_Q;

    ILWLVHQ = a1*b1 + a3*b1*LOW_W + a1*b2*LOW_V + a3*b2*LOW_W*LOW_V +
     a1*b3*HIGH_Q + a3*b3*LOW_W*HIGH_Q + a1*b4*LOW_V*HIGH_Q +
     a3*b4*LOW_W*LOW_V*HIGH_Q;
    IMWLVHQ = a1*b1 + a3*b1*MED_W + a1*b2*LOW_V + a3*b2*MED_W*LOW_V +
     a1*b3*HIGH_Q + a3*b3*MED_W*HIGH_Q + a1*b4*LOW_V*HIGH_Q +
     a3*b4*MED_W*LOW_V*HIGH_Q;
    IHWLVHQ = a1*b1 + a3*b1*HIGH_W + a1*b2*LOW_V + a3*b2*HIGH_W*LOW_V +
     a1*b3*HIGH_Q + a3*b3*HIGH_W*HIGH_Q + a1*b4*LOW_V*HIGH_Q +
     a3*b4*HIGH_W*LOW_V*HIGH_Q;

    ILWMVHQ = a1*b1 + a3*b1*LOW_W + a1*b2*MED_V + a3*b2*LOW_W*MED_V +
     a1*b3*HIGH_Q + a3*b3*LOW_W*HIGH_Q + a1*b4*MED_V*HIGH_Q +
     a3*b4*LOW_W*MED_V*HIGH_Q;
    IMWMVHQ = a1*b1 + a3*b1*MED_W + a1*b2*MED_V + a3*b2*MED_W*MED_V +
     a1*b3*HIGH_Q + a3*b3*MED_W*HIGH_Q + a1*b4*MED_V*HIGH_Q +
     a3*b4*MED_W*MED_V*HIGH_Q;
    IHWMVHQ = a1*b1 + a3*b1*HIGH_W + a1*b2*MED_V + a3*b2*HIGH_W*MED_V +
     a1*b3*HIGH_Q + a3*b3*HIGH_W*HIGH_Q + a1*b4*MED_V*HIGH_Q +
     a3*b4*HIGH_W*MED_V*HIGH_Q;

    ILWHVHQ = a1*b1 + a3*b1*LOW_W + a1*b2*HIGH_V + a3*b2*LOW_W*HIGH_V +
     a1*b3*HIGH_Q + a3*b3*LOW_W*HIGH_Q + a1*b4*HIGH_V*HIGH_Q +
     a3*b4*LOW_W*HIGH_V*HIGH_Q;
    IMWHVHQ = a1*b1 + a3*b1*MED_W + a1*b2*HIGH_V + a3*b2*MED_W*HIGH_V +
     a1*b3*HIGH_Q + a3*b3*MED_W*HIGH_Q + a1*b4*HIGH_V*HIGH_Q +
     a3*b4*MED_W*HIGH_V*HIGH_Q;
    IHWHVHQ = a1*b1 + a3*b1*HIGH_W + a1*b2*HIGH_V + a3*b2*HIGH_W*HIGH_V +
     a1*b3*HIGH_Q + a3*b3*HIGH_W*HIGH_Q + a1*b4*HIGH_V*HIGH_Q +
     a3*b4*HIGH_W*HIGH_V*HIGH_Q;

! Calc conditional direct effects for each combination of moderator values

    DLOV_LOQ = cdash1 + cdash4*LOW_V + cdash5*LOW_Q + cdash7*LOW_V*LOW_Q;
    DMEV_LOQ = cdash1 + cdash4*MED_V + cdash5*LOW_Q + cdash7*MED_V*LOW_Q;
    DHIV_LOQ = cdash1 + cdash4*HIGH_V + cdash5*LOW_Q + cdash7*HIGH_V*LOW_Q;

    DLOV_MEQ = cdash1 + cdash4*LOW_V + cdash5*MED_Q + cdash7*LOW_V*MED_Q;
    DMEV_MEQ = cdash1 + cdash4*MED_V + cdash5*MED_Q + cdash7*MED_V*MED_Q;
    DHIV_MEQ = cdash1 + cdash4*HIGH_V + cdash5*MED_Q + cdash7*HIGH_V*MED_Q;

    DLOV_HIQ = cdash1 + cdash4*LOW_V + cdash5*HIGH_Q + cdash7*LOW_V*HIGH_Q;
    DMEV_HIQ = cdash1 + cdash4*MED_V + cdash5*HIGH_Q + cdash7*MED_V*HIGH_Q;
    DHIV_HIQ = cdash1 + cdash4*HIGH_V + cdash5*HIGH_Q + cdash7*HIGH_V*HIGH_Q;

! Calc conditional total effects for each combination of moderator values

    TLWLVLQ = ILWLVLQ + DLOV_LOQ;
    TMWLVLQ = IMWLVLQ + DLOV_LOQ;
    THWLVLQ = IHWLVLQ + DLOV_LOQ;

    TLWMVLQ = ILWMVLQ + DMEV_LOQ;
    TMWMVLQ = IMWMVLQ + DMEV_LOQ;
    THWMVLQ = IHWMVLQ + DMEV_LOQ;

    TLWHVLQ = ILWHVLQ + DHIV_LOQ;
    TMWHVLQ = IMWHVLQ + DHIV_LOQ;
    THWHVLQ = IHWHVLQ + DHIV_LOQ;

    TLWLVMQ = ILWLVMQ + DLOV_MEQ;
    TMWLVMQ = IMWLVMQ + DLOV_MEQ;
    THWLVMQ = IHWLVMQ + DLOV_MEQ;

    TLWMVMQ = ILWMVMQ + DMEV_MEQ;
    TMWMVMQ = IMWMVMQ + DMEV_MEQ;
    THWMVMQ = IHWMVMQ + DMEV_MEQ;

    TLWHVMQ = ILWHVMQ + DHIV_MEQ;
    TMWHVMQ = IMWHVMQ + DHIV_MEQ;
    THWHVMQ = IHWHVMQ + DHIV_MEQ;

    TLWLVHQ = ILWLVHQ + DLOV_HIQ;
    TMWLVHQ = IMWLVHQ + DLOV_HIQ;
    THWLVHQ = IHWLVHQ + DLOV_HIQ;

    TLWMVHQ = ILWMVHQ + DMEV_HIQ;
    TMWMVHQ = IMWMVHQ + DMEV_HIQ;
    THWMVHQ = IHWMVHQ + DMEV_HIQ;

    TLWHVHQ = ILWHVHQ + DHIV_HIQ;
    TMWHVHQ = IMWHVHQ + DHIV_HIQ;
    THWHVHQ = IHWHVHQ + DHIV_HIQ;

! Use loop plot to plot conditional indirect effect of X on Y for each combination of low, med, high moderator values
! Could be edited to show conditional direct or conditional total effects instead
! NOTE - values of 1,5 in LOOP() statement need to be replaced by
! logical min and max limits of predictor X used in analysis

    PLOT(PLWLVLQ PMWLVLQ PHWLVLQ PLWMVLQ PMWMVLQ PHWMVLQ
    PLWHVLQ PMWHVLQ PHWHVLQ
    PLWLVMQ PMWLVMQ PHWLVMQ PLWMVMQ PMWMVMQ PHWMVMQ
    PLWHVMQ PMWHVMQ PHWHVMQ
    PLWLVHQ PMWLVHQ PHWLVHQ PLWMVHQ PMWMVHQ PHWMVHQ
    PLWHVHQ PMWHVHQ PHWHVHQ);

    LOOP(XVAL,1,5,0.1);

    PLWLVLQ = ILWLVLQ*XVAL;
    PMWLVLQ = IMWLVLQ*XVAL;
    PHWLVLQ = IHWLVLQ*XVAL;

    PLWMVLQ = ILWMVLQ*XVAL;
    PMWMVLQ = IMWMVLQ*XVAL;
    PHWMVLQ = IHWMVLQ*XVAL;

    PLWHVLQ = ILWHVLQ*XVAL;
    PMWHVLQ = IMWHVLQ*XVAL;
    PHWHVLQ = IHWHVLQ*XVAL;

    PLWLVMQ = ILWLVMQ*XVAL;
    PMWLVMQ = IMWLVMQ*XVAL;
    PHWLVMQ = IHWLVMQ*XVAL;

    PLWMVMQ = ILWMVMQ*XVAL;
    PMWMVMQ = IMWMVMQ*XVAL;
    PHWMVMQ = IHWMVMQ*XVAL;

    PLWHVMQ = ILWHVMQ*XVAL;
    PMWHVMQ = IMWHVMQ*XVAL;
    PHWHVMQ = IHWHVMQ*XVAL;

    PLWLVHQ = ILWLVHQ*XVAL;
    PMWLVHQ = IMWLVHQ*XVAL;
    PHWLVHQ = IHWLVHQ*XVAL;

    PLWMVHQ = ILWMVHQ*XVAL;
    PMWMVHQ = IMWMVHQ*XVAL;
    PHWMVHQ = IHWMVHQ*XVAL;

    PLWHVHQ = ILWHVHQ*XVAL;
    PMWHVHQ = IMWHVHQ*XVAL;
    PHWHVHQ = IHWHVHQ*XVAL;

PLOT:
   TYPE = plot2;

OUTPUT:
   STAND CINT(bcbootstrap);

 

Return to Model Template index.

To cite this page and/or any code used, please use:
Stride C.B., Gardner S., Catley. N. & Thomas, F.(2015) 'Mplus code for the mediation, moderation, and moderated mediation model templates from Andrew Hayes' PROCESS analysis examples' , http://www.figureitout.org.uk

Home
Statistical Consultancy
Data Management
Public Training Courses
Inhouse & Bespoke Training
Links & Resources
About Us & Contact Details