Mplus code for the mediation, moderation, and moderated mediation model templates from Andrew Hayes' PROCESS analysis examples

Model 74: 1 or more mediators, in parallel if multiple (example uses 1), IV also moderates the Mediator-DV path

Example Variables: 1 predictor X, 1 mediator M, 1 outcome Y

Preliminary notes:

The code below assumes that

  • The primary IV (variable X) is continuous or dichotomous
  • The mediator (variable M) is continuous. An example of how to handle a dichotomous mediator is given in model 4c.
  • The DV (variable Y) is continuous and satisfies the assumptions of standard multiple regression. An example of how to handle a dichotomous DV is given in model 1e (i.e. a moderated logistic regression) and in model 4d (i.e. an indirect effect in a logistic regression).

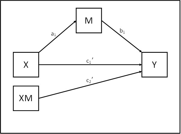
Model Diagram:

 

Statistical Diagram:

 

Model Equation(s):

Y = b0 + b1M + c1'X + c2'MX
M = a0 + a1X

 

Algebra to calculate total, indirect and/or conditional effects by writing model as Y = a + bX:

Y = b0 + b1M + c1'X + c2'MX
M = a0 + a1X


Hence... substituting in equations for M

Y = b0 + b1(a0 + a1X) + c1'X + c2'(a0 + a1X)X


Hence... multiplying out brackets

Y = b0 + a0b1 + a1b1X + c1'X + a0c2'X + a1c2'XX


Hence... grouping terms into form Y = a + bX

Y = (b0 + a1b1) + (a1b1 + c1' + a0c2' + a1c2'X)X


Hence...

Conditional Indirect effect of X on Y:

a1b1 + a1c2'X = a1*(b1 + c2'X)

 

Mplus code for the model:

! Predictor variable - X
! Mediator variable(s) – M
! Moderator variable(s) - (X)
! Outcome variable - Y

USEVARIABLES = X M Y XM;

DEFINE:
   XM = X*M;

ANALYSIS:
   TYPE = GENERAL;
   ESTIMATOR = ML;
   BOOTSTRAP = 10000;

! In model statement name each path using parentheses

MODEL:
   Y ON M (b1);

   Y ON X (cdash1);   ! direct effect of X on Y
   Y ON XM (cdash2);

   [M] (a0);
   M ON X (a1);

! Use model constraint to calculate indirect effect

MODEL CONSTRAINT:
   NEW(LOW_X MED_X HIGH_X IND_LOWX IND_MEDX IND_HIX);

    LOW_X = #LOWX;   ! replace #LOWX in the code with your chosen low value of X
    MED_X = #MEDX;   ! replace #MEDX in the code with your chosen medium value of X
    HIGH_X = #HIGHX;   ! replace #HIGHX in the code with your chosen high value of X

! Calc conditional indirect effects of X on Y via M for low, medium, high values of X

    IND_LOWX = a1*b1 + a1*cdash2*LOW_X;
    IND_MEDX = a1*b1 + a1*cdash2*MED_X;
    IND_HIX = a1*b1 + a1*cdash2*HIGH_X;

! Use loop plot to plot conditional indirect effect of X on Y
! NOTE - values of 1,5 in LOOP() statement need to be replaced by
! logical min and max limits of predictor X used in analysis

    PLOT(INDX);

    LOOP(XVAL,1,5,0.1);

    INDX = (a1*b1 + a1*cdash2*XVAL)*XVAL;

PLOT:
   TYPE = plot2;

OUTPUT:
   STAND CINT(bcbootstrap);

 

Return to Model Template index.

To cite this page and/or any code used, please use:
Stride, C.B., Gardner, S., Catley, N. & Thomas, F.(2015) 'Mplus code for the mediation, moderation, and moderated mediation model templates from Andrew Hayes' PROCESS analysis examples', http://www.offbeat.group.shef.ac.uk/FIO/mplusmedmod.htm

Home
Statistical Consultancy
Data Management
Public Training Courses
Inhouse & Bespoke Training
Links & Resources
About Us & Contact Details